반응형
Ⅰ. 회귀 알고리즘의 개념 및 유형
가. 회귀 분석의 개념
- 연속적인 데이터에 대해서 주어진 종속 변수와 독립 변수 간의 관계를 추정하기 위한 통계적 프로세스
나. 회귀 분석의 유형
| 유형 | 개념도 | 설명 |
| 선형 회귀 | ![]() |
- 독립 변수 x를 활용해 종속 변수 y의 움직임을 예측 - 1차원 방정식의 기술기 구하기 |
| 로지스틱 회귀 | ![]() |
- 선형회귀의 직선 대신 S자 곡선을 이용해 분류의 정확도 향상 - 시그모이드 함수와 소프트맥스 함수 사용 |
| 릿지 회귀 | ![]() |
- 오버피팅 문제 해결을 위해 편향을 높이고 분산을 줄여 일반화 진행 - L2 정규화 적용으로 데이터 예측 |
| 라쏘 회귀 | ![]() |
- 릿지 회귀와 동일하지만 L2 대신 L1 정규화 사용 - 예측에 중요하지 않은 변수 회귀 계수 감소 |
| 다항 회귀 | ![]() |
- 다항식이나 곡선을 구해서 데이터 움직임을 예측 - 속성들 사이에 있는 복잡한 관계 분석 가능 |
Ⅱ. 선형회귀의 회귀식 및 평가방법
가. 선형 회귀의 회귀식
| 선형 회귀 개념도 | 회귀식 |
![]() |
Y = α + β X + ϵ X: 독립 변수 Y: 종속 변수 α: X 값에 영향을 주는 회귀 계수 β: 회귀 계수, regression coefficient ϵ: 오차항, error term |
나. 선형회귀 평가방법
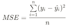
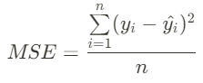
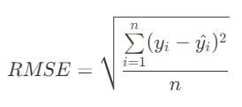
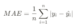
| 평가 방법 | 수식 | 설명 |
| Mean Squared Error | ![]() |
- 실제값과 예측값의 차이의 제곱 |
| Root Mean Squared Error | ![]() |
- MSE에 루트를 씌워 평균값과의 차이 감소 |
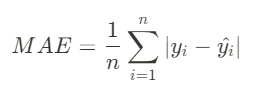
| Mean Absolute Error | ![]() |
- 실제값과 예측값 차이의 절대값 |
| R Square | ![]() |
- 평균과 비교해서 회귀선이 실제 데이터값을 얼마나 잘 설명하는지 평가 - SSR: 예측값과 평균값 차이 제곱 - SSE: 예측값과 실제값 차이 제곱 - SST: 평균값과 실제값 차이 제곱 |
반응형
'IT 기술 > 인공지능' 카테고리의 다른 글
| AI 거버넌스 플랫폼 (0) | 2025.01.07 |
|---|---|
| 그래프 신경망 (1) | 2025.01.07 |
| 데이터 마이닝 (2) | 2024.12.11 |
| 파운데이션 모델 (2) | 2024.12.11 |
| 워드 임베딩과 기법 (0) | 2024.12.11 |









